如今,为缓解化石燃料造成的能源危机和环境污染,绿色可再生能源(如太阳能、水电和风能)的研究发展迅速。然而,受气候、地理和设备尺寸的限制,上述能量路由器在设备小型化和实际应用方面仍然存在显著的局限性。如果自然界和生活过程中无处不在的潮湿空气能够诱导发电,这将大大扩大可持续的电力来源。湿气发电机(MEGs)利用水分子和活性材料之间的相互作用产生流动潜力,展示了绿色、可再生和便携的优势。但受限于输出功率的限制,MEG的开发和实际应用仍然面临巨大挑战。
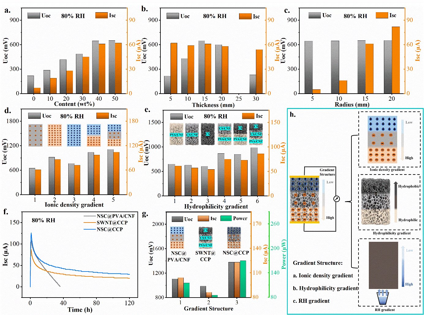
番茄小说 傅强教授团队利用湍流剪切沉淀、自组装和冷冻干燥等方法,设计了一种基于聚合物树枝状胶体和单壁碳纳米管(SWNT)的含有双重梯度结构的高性能、长持续时间的MEG。聚合物树枝状胶体及表面的单壁碳纳米管形成了仿生“核壳”结构,增强了水和单壁碳管之间的接触和相互作用。羧基化单壁碳纳米管和氨基化单壁碳纳米管在气凝胶内部构件了从-30.2到+27.6 mV的超高离子密度梯度,从而有效地驱动载流子的扩散并改善了MEGs的最大输出功率。同时,利用不同聚合物树枝状胶体,研究团队在气凝胶内部构建了具有不同亲疏水性能的亲水性梯度,显著改善了水和载流子的持续传输能力,保障了MEGs能够在高湿环境下稳定持续供能。通过上述设计,该气凝胶基MEGs实现了约32.59 μW·cm-2实际功率和超过120 h的输出时间,有望兼顾高功率和长持续时间,为新型高性能MEGs的开发提供了一种新思路。该MEGs在湿气发电领域在能量密度和功率密度方面都实现了领先。该工作以“Double gradient structured composite aerogels for ultrahigh performance moisture energy harvesting”发表在《Energy & Environmental Science》上。文章的第一作者是博士研究生张学忠,通讯作者为邓华教授和傅强教授,该研究得到国家自然科学基金委的支持。

图1. 气凝胶基MEGs的制备流程示意图

图2.离子密度和亲水性梯度对气凝胶湿气发电性能的影响

图3. MEGs的模拟及应用示意图
上述工作是研究团队在制备高性能MEGs上的最新进展。为解决传统加工技术普遍存在的填料功能性降低的缺陷,团队发展了聚合物剪切沉淀的技术,并将其与功能性填料进行复合,探索了其在MEGs方面的可能应用。在过去的两年,团队制备了一种基于多壁碳纳米管/聚氨酯树枝状涂层的海绵(Chem. Eng. J.,2022,438,135659),证明该技术用于MEGs具备可行性。随后通过构建不对称离子密度梯度,制备了多种高性能MEGs(Nano Energy,2022,98,107241;AdvFunctMater,2023,33, 2210027),证实了离子梯度结果驱动载流子扩散的可行性。
撰稿:邓华
编辑:杨燕玲
审核:刘向阳